网站首页  词典首页


请输入您要查询的字词:

 

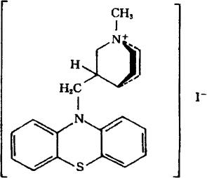
字词 甲喹碘铵
类别 中英文字词句释义及详细解析
释义 甲喹碘铵

C21H25IN2S=464.41

CAS-101396-42-3

(±)-1-甲基-3-(吩噻嗪-10-基甲基)奎宁环鎓碘化物。

(±)-1-Methyl-3-(phenothiazin-10-ylmethyl)quinuclidinium iodide.

1-甲基-3-(10H-吩噻嗪-10-基甲基)-1-氮鎓双环[2. 2.2]辛烷碘化物。

1-Methyl-3-(10H-phenothiazin-10-ylmethyl)-1-azoniabicyclo-[2.2.2]octane iodide.

支气管扩张药,抗过敏药,平喘药。

Mequitamium Iodide,Mequitazium Iodide,LG

30435.

INN,USAN.

随便看

 

离鸟网收录3541549条中英文词条,其功能与新华字典、现代汉语词典、牛津高阶英汉词典等各类中英文词典类似,基本涵盖了全部常用中英文字词句的读音、释义及用法,是语言学习和写作的有利工具。

 

Copyright © 2004-2024 vtrois.com All Rights Reserved
更新时间:2026/4/18 7:21:07