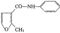
甲呋酰苯胺
杂环类杀菌剂。 化学名称:2-甲基呋喃-3-甲酰替苯胺。化学结构式如下。原药为乳白色固体,熔点109~110℃,溶解度水中为98mg/kg,甲醇中为145g/L,丙酮中为320g/L,环己酮中340g/L。 对光、热稳定,在75℃条件下贮存100h,分解率为1.4%,内吸性杀菌剂。 主要用于禾谷类作物种子处理,防治大、小麦散黑穗病,小麦腥黑穗病,高粱丝黑穗病,散黑穗病,坚黑穗病,谷子粒黑穗病;对玉米丝黑穗病效果差。对人畜低毒,大鼠急性口服LD5012900mg/kg。对皮肤有轻度刺激,对眼睛有严重刺激作用,对鱼类毒性较低。 
|