网站首页  词典首页


请输入您要查询的字词:

 

字词 由限定热损失量求绝热层厚度
类别 中英文字词句释义及详细解析
释义 由限定热损失量求绝热层厚度

[说明]在某些装置中,因工艺条件需要,限定了热损失量,此时绝热层厚度可按下列情况计算。

1.外径<1m的管道或圆筒形设备

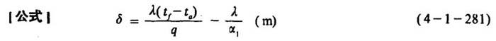
式中 δ——绝热层厚度(m)

D0——管道或圆筒形设备的裸露外径(m)

t3——绝热层表面温度(℃),见表4-1-25

q——设备或管道限定的单位热损失量[kcal/(m·h·℃)]

λ——绝热材料在其平均温度下的导热系数[kcal/(m·h·℃)]

表4-1-25 管道及设备的绝热层表面温度

2.平壁及外径>1m的管道或圆筒形设备

式中符号含义及单位均同上

随便看

 

离鸟网收录3541549条中英文词条,其功能与新华字典、现代汉语词典、牛津高阶英汉词典等各类中英文词典类似,基本涵盖了全部常用中英文字词句的读音、释义及用法,是语言学习和写作的有利工具。

 

Copyright © 2004-2024 vtrois.com All Rights Reserved
更新时间:2026/4/19 11:18:36