网站首页  词典首页


请输入您要查询的字词:

 

字词 由公式U=Ed可得:
类别 中英文字词句释义及详细解析
释义 由公式U=Ed可得:

1.电场强度的单位:伏/米、V/m,

1V/m=1N/C.

2.由可知:场强方向就是电势降低最快的方向,或者说,场强方向是电势降落最陡的方向.

(3)要注意公式与公式的区别,公式是场强的定义式,适用于任何电场;公式只适用于计算真空中点电荷电场;公式只适用匀强电场.

例 如图所示,两平行金属板的极间距为d,极板面与水平面成角θ,左极板中心开有一小孔O,当两极板间加上一定的电压后,某一带电粒子的质量为m,所带的电荷量为q,该粒子以一水平速度从O点射入极板间后,能从O孔反射出来,求

(1)极板间所加电压的大小,判断粒子带何种电荷.

(2)粒子在电场中运动的时间最长不超过多少?

分析 本题的关键是根据粒子的运动情况去分析其受力情况,粒子由O点水平射入,又由O点射出,则粒子在电场中只能在水平方向做直线运动;又因重力和电场力都为恒力,其合力必为恒力,且在这条直线上,则是做匀减速直线运动,其电场力的方向指向正极板,合力方向水平.

解 (1)粒子在匀强电场中做匀减速直线运动,其受力如图所示,电场力指向正极板,故粒子带负电.

又在匀强电场中有U=Ed,
❸ 

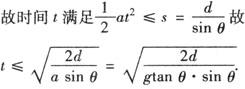
(2)由❷ 可得带电粒子在电场运动的加速度a=gtan θ.

a一定,当匀减速运动的位移最大时,时间最长,其在电场中减速的最大位移为s=

随便看

 

离鸟网收录3541549条中英文词条,其功能与新华字典、现代汉语词典、牛津高阶英汉词典等各类中英文词典类似,基本涵盖了全部常用中英文字词句的读音、释义及用法,是语言学习和写作的有利工具。

 

Copyright © 2004-2024 vtrois.com All Rights Reserved
更新时间:2026/4/18 20:02:59