用导数研究函数的极值
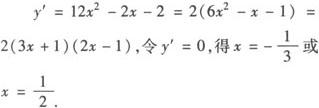
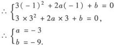
利用导数求函数极值的方法和步骤如下: 1.求导数f′(x);2.求方程f′(x)=0的根;3.检查f′(x)在方程根左、右的值的符号,如果左正右负,那么f(x)在这个根处取得极大值,如果左负右正,那么f(x)在这个根处取得极小值,如果左右同号,那么f(x)在这个根处无极值. 例1 求y=4x3—x2—2x的极值点和相应的极值. 解 ∵y′=12x2—2x—2,∴在(—∞,+∞)内任一点处都可导,所以它的极值点就是其导数等于0的点,但要注意导数为0的点并非都是极值点,必须考察导数等于0的点的左右导数的符号和函数的单调性.  ∴当x变化时,y,y′的变化情况如下表:   例2 已知函数f(x)=x3+ax2+bx+c,当x=—1时取得极大值7,如x=3时取得极小值,求极小值及这时a,b,c的值. 解 依题意x=—1与x=3是方程f′(x)=0的两根,于是先求出f′(x),再由f′(—1)=0,f′(3)=0,求出a,b,c. ∵f(x)=x3+ax2+bx+c, ∴f′(x)=3x2+2ax+b ∵x=—1时,函数取得极大值,x=3时取得极小值, ∴—1,3是方程f(x)=0的两根.  ∴f(x)=x3—3x2—9x+c. 又x=—1时,y极大=7,∴(—1)3—3(—1)2—9(—1)+c=7,∴c=2. y极小=f(3)=33—3×32—9×3+2=—25. 故a=—3,b=—9,c=2,y极小=—25. |