网站首页  词典首页


请输入您要查询的字词:

 

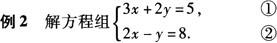
字词 用加减消元法解二元一次方程组的步骤
类别 中英文字词句释义及详细解析
释义 用加减消元法解二元一次方程组的步骤

1.变换系数:用适当的数乘以方程的两边,使一个未知数的系数相等或互为相反数.

2.加减消元:把方程组中相同的未知数上下对齐,然后两式分别相减或相加,消去一个未知数,得到一个一元一次方程,并求解.

3.回代求解:将求得的未知数回代到原方程组的任意一个方程中,求出另一个未知数的值,从而得到方程组的解.

例1 用加减消元法解方程组

…变换系数

❸ +❹ 得13x=-13.…加减消元

x=-1.

…回代求解

解 ❶ +2×❷ ,得7x=21.

x=3.

把x=3代入❷ ,得y=-2.

随便看

 

离鸟网收录3541549条中英文词条,其功能与新华字典、现代汉语词典、牛津高阶英汉词典等各类中英文词典类似,基本涵盖了全部常用中英文字词句的读音、释义及用法,是语言学习和写作的有利工具。

 

Copyright © 2004-2024 vtrois.com All Rights Reserved
更新时间:2026/4/20 11:59:01