网站首页  词典首页


请输入您要查询的字词:

 

字词 生存年金终值
类别 中英文字词句释义及详细解析
释义 生存年金终值

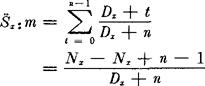
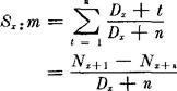
保险专业名词。又称“生命年金终值、“生命年金终价”。被保险人在几年间仍生存的范围内,将其生存年金的金额在每年年度未提存,至期末,所成的总资金由尚生存者分担,则每人份额称为几年定期年金终值。国际通用符号期初付年金终值以x:m表示,期末付年金终值以x:m表示。终值与现值有倒数关系。计算公式为:

期末付年金现值与期末付年金终值有如下关系:

随便看

 

离鸟网收录3541549条中英文词条,其功能与新华字典、现代汉语词典、牛津高阶英汉词典等各类中英文词典类似,基本涵盖了全部常用中英文字词句的读音、释义及用法,是语言学习和写作的有利工具。

 

Copyright © 2004-2024 vtrois.com All Rights Reserved
更新时间:2026/4/19 6:57:20