网站首页  词典首页


请输入您要查询的字词:

 

字词 生产过程的热平衡
类别 中英文字词句释义及详细解析
释义 生产过程的热平衡

1.热平衡计算的基本数据

表8-14 热平衡计算的基本数据(1000吨/日甜菜糖厂)

2.蒸发热力条件

表8-15 蒸发热力条件

3.制糖工艺过程热量消耗计算(以100公斤菜丝为基础)

(1)连续渗出器

进入热量:

甜菜丝 100×(-80)×15/100=-1200千卡

渗出用水 65×1×45=2920千卡

压粕水 50×1×60=3000千卡

带出热量:

渗出汁 115×0.9×30=3110千卡

废粕 90×1×48=4320千卡

总耗热量:1.1〔(3110+4320)-(2920+3000-1200)〕

=1.1×2710=2980千卡

耗汽量:2980/(640.5-101.5)=5.55

(2)压粕水加热器

耗热量 50×1×(85-40)×1.03=2320千卡

耗汽量 2320/(640.5-101.5)=4.3

(3)预灰汁加热器

第Ⅰ组

耗热量 116.05×0.9×(50-30)×1.03=2150千卡

耗汽量 2150/(631.7-78.1)=3.88

第Ⅱ组

耗热量 116.05×0.9×(85-50)×1.03=3780千卡

耗汽量 3780/(640.5-101.5)=7.0

(4)一碳汁加热器

耗热量 129.037×0.9×(95-75)×1.03=2400千卡

耗汽量 2400/(640.5-101.5)=4.45

(5)二碳前加热器

耗热量 129.037×0.9×(105-90)×1.03=1800千卡

耗汽量 1800/(644.6-113.2)=3.39

(6)蒸发前加热器

第Ⅰ组

耗热量 127.27×0.9×(103-90)×1.03=1540千卡

耗汽量 1540/(644.6-113.2)=2.9

第Ⅱ组

耗热量 127.27×0.9×(118-103)×1.03=1780千卡

耗汽量 1780/(647.8-122.5)=3.4

第Ⅲ组

耗热量 127.27×0.9×(127-118)×1.03=1060千卡

耗汽量 1060/519.5=2.05

(7)糖浆贮箱

耗热量 37.26×0.6×(85-75)×1.1=246千卡

耗汽量 246/560.5=0.44

(8)一号原洗蜜箱

耗热量 12.55×0.5×(90-55)×1.1=242千卡

耗汽量 242/560.5=0.43

(9)二号原蜜箱

耗热量 9.45×0.5×(90-55)×1.1=182千卡

耗汽量 182/560.5=0.32

(10)再溶槽

总需热量 10.54×0.6×100×1.1=696千卡

二砂糖带入热量 6.39×0.25×20=32千卡

稀汁带入热量 4.08×0.9×127=466千卡

耗热量 696-(466+32)=198千卡

耗汽量 198/531≈0.4

(11)一砂结晶罐

设:一膏锤度92.5

煮糖真空度600毫米汞柱

汁汽温度62℃ 汽化热562千卡/公斤

加热用汁汽温度115.2℃ 汽化热529.1千卡/公

蒸发1公斤水需汁汽量 526/529.1=1.06

耗汽量 11.0×1.06×1.1=12.85

(12)二砂结晶罐

设:二膏锤度93

煮糖原料稀释至锤度75

糖糊蒸发水量 8.96(1-88/93)=0.49

由一原蜜煮糖蒸发水量

(14.86-8.96-0.49)(93/75-1)=1.3

总蒸发水量 1.3+0.49=1.8

耗汽量 1.80×1.06×1.1=2.1

(13)三砂结晶罐

设:

三膏锤度94.0

煮糖原料锤度75.0

蒸发水量 8.04(94/75-1)=2.04

耗汽量 2.04×1.06×1.1=2.38

结晶罐共用汽 12.85+2.1+2.38=17.33

4.蒸发罐热力计算(以100公斤菜丝为基础)

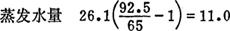
(1)蒸发水量概算

蒸发糖浆量27.0

Ⅲ效蒸发罐糖汁沸点109.2℃

浓缩罐糖汁沸点85℃

浓缩罐中自蒸发量

27.0×0.6×(109.2-85)/(631.7-85)=0.72

进入浓缩罐的糖浆量 27.0+0.72=27.72

进入浓缩罐的糖浆锤度

27.0×65/27.72=63.3

蒸发罐总蒸发水量

据工艺过程热消耗计算各效应抽出额外汁汽

E1=3.4

E2=3.39+2.90+2.50+0.40+17.33=26.52

E3=18.8

W<E1+E2+E3

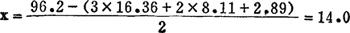
设供结晶罐用的Ⅱ效汁汽量为x

96.2=3.4+2(9.19+x)+3×18.8

Ⅱ效罐中应抽出的汁汽量为:

9.19+9.01=18.20

在W3=E3的条件下各效蒸发水量为:

W3=18.8

W2=18.8+18.2=37.0

W1=18.8+18.2+3.4=40.4

(2)自蒸发系数β

β1=0

β2=(127-118.4)/(645.1-118.4)=0.016

β3=(118.4-108.9)/(640.7-108.9)=0.018

(3)凝结水自蒸发汁汽量

凝结水自蒸发系数=(132-125.5)/(647.8-125.5)=0.012=(123.5-116.5)/(644.6-116.5)=0.013=(114.7-104.5)/(640.5-104.5)=0.019

凝结水量

Ⅰ号排水柱 40.4+2.05=42.45

Ⅱ号排水柱 37.0+3.4=40.4

Ⅲ号排水柱 18.8+2.5+3.39+2.9+17.33+0.4=45.32

凝结水自蒸发汁汽量:

I1=42.45×0.012=0.51

12=(42.45+40.4)×0.013=1.08

I3=(42.45+40.4+45.32)×0.019=2.44

(4)考虑凝结水自蒸发校正各效抽出汁汽量

E1=3.4-0.51=2.89

E2=9.19+X-1.08=8.11+x

E3=18.8-2.44=16.36

E2=8.11+14.0=22.11

(5)蒸发罐蒸汽消耗量计算

D1=(W-S·C·y+E1z1+E2z2)

x=3-2β2-2β3=3-2×0.016-2×0.018=2.932

y=3β1+2β23=3×0+2×0.016+0.018=0.05

Z1=2-β3=2-0.018=1.982

z2=1

W1=D1+S·C·β1=40.41+(127.72-4.08)×0.9×0

=40.41

D2=W1-E1=40.41-2.89=37.52

W2=D2+(S·C-W12=37.52+〔(127.72-4.08)×0.9-40.41〕×0.016=37.52+1.13=38.65

D3=W2-E2=38.65-22.11=16.54

W3=D3+(S·C-W1-W2)×0.018=16.54+〔(127.72-4.08)×0.9-40.41-38.65〕×0.018

=16.54+0.58=17.12

∑W=W1+W2+W3=40.41+38.65+17.12=96.18

(6)蒸发罐加热面积计算

蒸发耗热量:

Q1=40.41×(650.5-132)=21000千卡

Q2=37.52×(647.8-123.5)=19700千卡

Q3=16.54×(644.6-114.7)=8780千卡

Q=6×(640.5-102.5)=3230千卡

加工能力为1000吨/日糖厂的所需加热面积

取200米2

〔注〕0.83为不均衡系数

加热面积总计

550+700+700+200=2150米2

随便看

 

离鸟网收录3541549条中英文词条,其功能与新华字典、现代汉语词典、牛津高阶英汉词典等各类中英文词典类似,基本涵盖了全部常用中英文字词句的读音、释义及用法,是语言学习和写作的有利工具。

 

Copyright © 2004-2024 vtrois.com All Rights Reserved
更新时间:2026/4/18 23:33:30