网站首页  词典首页


请输入您要查询的字词:

 

字词 生产过程的水平衡(1000吨/日甜菜糖厂)
类别 中英文字词句释义及详细解析
释义 生产过程的水平衡(1000吨/日甜菜糖厂)

1.生产过程耗水量计算

(1)流送沟水力冲卸器耗水量 水力冲卸器喷嘴的理论喷水量计算见第二章第二节“水力冲卸器”。

生产中流送沟水力冲卸器消耗水量在正常条件下为550~650%对菜;但在下述二个条件下耗水量将视情况增加10~50%(对耗水量):

❶ 外界温度降低,甜菜结冰。

❷ 甜菜中含泥量增大。

(2)除石器耗水量 除石器底部有喷嘴,连续供水时,耗水量40~80%对甜菜。

(3)洗菜机耗水量

q——每立方米容积内甜菜重,取q=420公斤

t2——甜菜洗涤时间,取10分

t1——水在机内停留时间,取30分

(4)连续渗出器耗水量

无压粕水回流时的耗水量

W=提汁率(%对菜)+α-100(%对菜)

α1废粕量(%对菜),塔式为80~85,双绞笼85~90

有压粕水回流时的耗水量

W=提汁率(%对菜)+α-100-x

x压粕水量(%对菜)、水量查表3-16

(5)洗刷刀柜,刀片,切丝机耗水量

耗水量W=2%

(6)窑气洗涤器耗水量

❶ 采用泡沫式洗涤器,维持泡沫层的耗水W1

已知洗涤器耗水量与窑气合理比为

或2公斤/米3

燃烧100公斤石灰石得CaO53.5公斤和窑气102米3(标准态),则每公斤CaO相当窑气==1.9米3/公斤

每100公斤甜菜加灰3%时,得的窑气(标准态)=1.9×3.0=5.7米3/100公斤甜菜

300℃窑气的体积(在压力0毫米汞柱下),计算公式见第四章第六节“窑气量换算”。

耗水W1(%对甜菜)=12×2=24%

❷ 从热量平衡计算耗水W1

式中Q1、Q2分别为干窑气及窑气中过热蒸汽在冷却时,放出的热量(千卡/100公斤甜菜)t1、t2分别为冷却水进入和排出的温度(℃)。

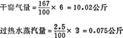
假设窑气冷却由300℃至40℃,冷水温由10℃上升至40℃,石灰石耗用量6%。

每200公斤石灰石,产生窑气153公斤和过热水蒸汽2.5公斤。

冷却时放出的热量为

Q1=10.02(300-40)0.23=600千卡

Q2=0.075〔(300-96)0.47+(637.4-40)〕=52千卡

式中 637.4——饱和蒸汽在0.9绝对大气压(洗涤器中)时热含量(千卡/公斤)。

0.47——过热蒸汽比热,千卡/公斤℃

0.23——干窑气比热,千卡/公斤℃

96——饱和蒸气温度(℃)

Q1+Q2=600+52=652千卡

耗水量W1==21.7%

从热量平衡计算耗水量的方法可简化为下式:

式中 tg——窑气洗涤后的温度(℃)

tw——冷水温度(℃)

(7)石灰消和耗水量

石灰乳浓度=20Bé时:比重=1.16,CaO含量=18.94%,加灰量=3%(对甜菜)

(8)滤泥洗涤耗水量

洗水量=湿泥%×200%(采用真空吸滤机时,为150%)

根据物料平衡计算湿泥=一碳湿泥+二碳湿泥=10.3+0.38

=10.68

其中10.7进入糖汁,另10.7%供消和用。

(9)排滤泥耗水量

排泥应加水4倍稀释,耗水量

W=4×10.68=42.8%

(10)滤布洗涤耗水量

耗水量取5%

(11)燃硫炉冷却耗水量

设:

冷却水温度=10℃,出口温度=20℃

硫磺用量0.015%

式中 2500——燃烧1公斤S所产生热量(千卡)

S——硫磺用量=0.015%

t1——冷却水温=10℃

t2——出口水温=20℃

(12)离心机洗糖耗水量

耗水量取2.0%

(13)三号糖膏稀释耗水量

耗水W=废蜜%-(三号糖膏-三号砂糖)%

=4.47-(8.04-3.82)

=0.52%

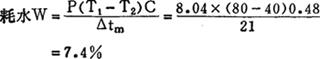
(14)三号糖膏助晶冷却耗水量

已知三膏重=8.04,由80℃冷至40℃,水温由20℃升至35℃

式中 P——三砂膏对甜菜重%=8.04

T1——糖膏冷却开始温度=80℃

T2——冷却终了时糖膏温度=40℃

C——糖膏的比热,取0.48千卡/公斤·℃

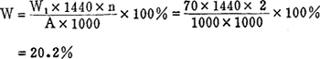
(15)窑气泵冷却耗水量

设:

Sz——4窑气泵耗用的冷却水量90升/分·台

式中 W1——90升/分·台

1440=24小时×60分

n——使用台数=2

A——工厂生产能力=1000吨/日

(16)真空泵冷却耗水量

设:

Sz——4真空泵耗用冷却水量100升/分·台

(17)空压机冷却耗水量

设:

空压机耗用,冷却水量为70升/分·台。

(18)离心泵群冷却耗水量

取W=5%

(19)结晶罐耗水量

“打水”取W=2%

(20)化验室耗水量

取W=2%,其中冷水1%,热水1%

(21)制糖车间生活用水(洗澡、便所、洗地板)耗水量

取W=10%,其中冷水5%,凝结水5%

(22)冷凝器:分预、主冷凝器串联耗水量

已知:

蒸发罐最大蒸发量 6%, 温度80℃

一砂结晶罐蒸发量 11%, 温度70℃

二砂结晶罐蒸发量 1.8%, 温度70℃

三砂结晶罐蒸发量 2.04%, 温度70℃

不凝结气体进入冷凝器 2%, 温度60℃

冷凝水温:预塔, 温度60℃

主塔 温度30℃

蒸汽进入冷凝器的平均温度tc

此温度下热焓i=660.79千卡/公斤

设:

预冷凝器的冷凝水量=150%,冷水温度=10℃

预冷凝器需用冷水量:

预冷凝器中冷凝的汁汽量:

150-138.5=11.5

主冷凝器中冷凝的汁汽量:

(6+11+1.8+2.04+2.00)-1.15=11.34

主冷凝器需用水量

主冷凝器的冷凝水量

11.34+357.66=369

预、主冷凝器共耗冷水

W=138.5+357.66=496.16

预、主冷凝器的冷凝水总量

496.16+22.84=519

其中:

60℃冷凝水=150%

30℃冷凝水=369%

引出60℃的100%供连续渗出器,150-100=50%与30°混合供其它部门使用。

(23)排压粕用水:一般取废粕的二倍,约180%对甜菜。如废粕不需水力输送则无此耗水量。

2.凝结水量(据热平衡)

(1)进入Ⅰ号凝结水包量

❶ Ⅰ号蒸发罐汽室 40.4%

❷ 蒸发前加热器Ⅲ# 2.05

❸ Ⅱ号蒸发罐汽室 37.52

❹ 蒸发前加热器Ⅱ# 3.40

小计 83.37

(2)进入Ⅱ号凝结水包量

❶ Ⅲ号蒸发罐汽室 16.54

❷ 渗出器 5.55

❸ 二碳前加热器 3.39

❹ 蒸发前加热器Ⅰ# 2.90

❺ 各结晶罐 17.33

❻ 预灰汁加热器Ⅱ组 7.0

❼ 预灰汁加热器Ⅰ组 3.88

❽ 一炭汁加热器 4.45

❾ 压粕水加热器 4.3

小计 65.82

合计 149.19

(3)凝结水平衡

表8-18 凝结水平衡

3.冷凝水平衡

表8-19 冷凝水平衡表

从平衡中看出冷凝水尚不足1018.4-519=499.4%,应从回收流送水,排废粕用水,冷却水等以补不足,无回收时增加冷水耗用量。

随便看

 

离鸟网收录3541549条中英文词条,其功能与新华字典、现代汉语词典、牛津高阶英汉词典等各类中英文词典类似,基本涵盖了全部常用中英文字词句的读音、释义及用法,是语言学习和写作的有利工具。

 

Copyright © 2004-2024 vtrois.com All Rights Reserved
更新时间:2026/4/18 22:58:58