生产过程的时间组织
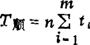
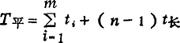
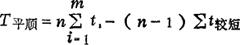
是指劳动对象在各单位及各工序之间在时间上的衔接和结合方式。可分为简单和复杂的两种生产过程时间组织。 1.简单生产过程时间组织。通常指一种零件加工过程的时间组织。在时间上的衔接配合,主要取决于零件在各工序间的移动方式。常用的移动方式有: (1)顺序移动方式。一批零件在前道工序全部完工后,才整批地转送到后道工序上加工。加工周期:  式中 t ——工序i的工序时间;m——工序数;n——批量。 (2)平行移动方式。一批零件中每一零件在前道工序加工完毕后,立即转入后道工序。加工周期:  式中 t长-最长工序时间。 (3)平行顺序移动方式。它既考虑加工的平行性,又考虑加工的连续性。各工序在开始加工后,要使设备能连续加工完该批零件,按此要求来确定每道工序开始加工时间。加工周期:  2.复杂生产过程的时间组织。通常是指产品生产过程的时间组织。它取决于各简单生产过程的时间组织及其相互配合的关系。 |