生产指数
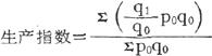
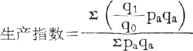
综合反映一定时期(年、季、月)产品实物量变动情况的指标。 世界各国编制各种生产指数,表明经济发展的成就。资本主义国家还利用各种生产指数作为考察经济周期的重要指标。 生产指数的计算方法,一般采用拉斯拜尔公式:  式中:p0为基期价格,q0与q1为基期和报告期的产品产量。 在实际统计工作中,苏联等一些国家对各时期的全部社会产品按不变价格计算,可以直接用上面公式。 而资本主义国家是采用代表产品产量个体指数,以加权算术平均数计算。其公式为:  为了各期生产指数可以对比,权数可固定在某一时期为paqa,则指数公式为:  公式中的对比基期与权数时期可以不一致。资本主义国家通常采用生产普查年所取得的产值资料作为权数。 苏联和东欧一些国家只就物质产品生产部门编制生产指数。欧美各国除编各物质生产部门的生产指数外,国民经济范围的总生产指数中还包括服务等非物质部门的产出变动。 生产指数可按不同的目的和范围进行编制。如以部门经济为范围编制,则有工业生产指数、农业生产指数、建筑业生产指数等;如以国民经济为范围的生产总指数,可根据社会总产品、社会最终产品或国民收入进行编制。 |