网站首页  词典首页


请输入您要查询的字词:

 

字词 生产均衡性分析
类别 中英文字词句释义及详细解析
释义 生产均衡性分析

企业进行技术经济分析的一个重要方面。

企业生产均衡有节奏,是合理组织劳动的重要内容。各工序间的生产稳定、协调、同步进行,在一定时间内完成的任务量都基本相等,是组织流水作业、提高生产率的首要条件。

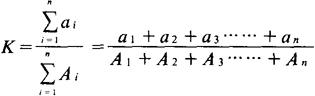
生产均衡系数一般按下列公式计算:

式中,K是在n段时间内,任务完成的均衡系数;a1,a2,a3,……an,在n段时间内,任务完成的百分率(超过100%以100计算);A1,A2,A3,……An,是计划指标,均以100%计算。

随便看

 

离鸟网收录3541549条中英文词条,其功能与新华字典、现代汉语词典、牛津高阶英汉词典等各类中英文词典类似,基本涵盖了全部常用中英文字词句的读音、释义及用法,是语言学习和写作的有利工具。

 

Copyright © 2004-2024 vtrois.com All Rights Reserved
更新时间:2026/4/18 1:09:19