网站首页  词典首页


请输入您要查询的字词:

 

字词 生产函数
类别 中英文字词句释义及详细解析
释义 生产函数

一种商品的产出与为生产这种商品所需要的投入(生产要素)之间的关系。

它说明投入生产中的各种生产要素的任何一种组合,最多能够生产多少产出。这里要求产出最多,是指生产中不采用无效率的技术。生产函数可以用数学符号表示为:

Q=f(L,K,t,等)

式中:Q表示产出;L表示劳动投入量;K表示资本投入量;t表示“技术进步”;“等”表示与产出可能有关系的其他投入。虽然生产函数典型地应用在厂商理论中,但也可以说一个国家的产出依赖于用于生产此产出的各种资源,这种生产函数称为总量生产函数,其数学表达式与上面相同,除了Q代表国民(或国内)生产总值外,K、L等代表该国的全部资本存量和所有劳动力等资源。

总量生产函数是否有意义,取决于人们对被计量的资本存量所持看法是否有实际意义。生产函数可取多种特定的代数形式。

常用的生产函数有以下几种:

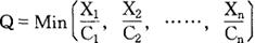
(1)投入产出生产函数。这种生产函数假定产出与各种投入之间以固定的系数相联系,各种投入之间没有替代性。

其函数形式为:

式中:Q表示产出;X1,…Xn表示各种投入量;C1,…Cn表示单位产出所需的各种投入的固定数量。

(2)科布-道格拉斯生产函数。这种函数形式为:

Q=ALαKβ

式中:Q表示产出;L表示劳动投入;K表示资本投入;A为效率参数,即投入一单位劳动和一单位资本时的产出,它的数值大小受产出及投入的计量单位的影响;α为产出对劳动的弹性参数,即;β为产出对资本的弹性参数,即

(3)不变替代弹性(CES)生产函数。

这种函数形式为:

<>

式中:Q表示产出,K表示资本投入;L表示劳动投入;A是效率参数;δ是分布参数,v是规模报酬参数;ρ是与要素替代弹性有关的参数。

生产函数的特性主要用以下概念来描述:

(1)规模报酬。指当所有生产要素投入量都按同一比例变动时,产出量是否也按同一比例变动的问题。当所有生产要素投入量都变为原来的λ(>1)倍时,如果产出量也变为原来的λ倍,则称为规模报酬不变;如果产出量大于原来的λ倍,则称为规模报酬递增;如果产出量不到原来产出量的λ倍,则称为规模报酬递减。规模报酬递减与某些投入的限制有关,特别是与自然条件的限制有关。规模报酬递增与“不可分割性”有关。

所谓不可分割性,是指有些工艺不能低于一定投入水平之下操作。当要求较大规模投入的工艺具有较高效率、生产规模扩大到采用这种工艺时,就会发生规模报酬递增现象。

规模报酬不变是最普遍的情况。

(2)边际生产力。指在其他投入要素不变的条件下,某一要素增加一单位带来的产出增加量,即生产函数对某一投入要素的偏导数。就生产函数Q=f(L,K)来说,劳动的边际生产力是,资本的边际生产力是

边际生产力通常为正,即:

边际生产力通常随投入量的不断增加而递减。或者说,在其他投入要素不变的条件下,连续增加某一种生产要素的投入量,所带来的产出增量会越来越少,即生产函数对某一生产要素的二阶偏导数小于0:

这一规律称为边际生产力递减规律或报酬递减律。它与规模报酬递减含义不同,但又有一定的关系。可以证明,当生产函数具有规模报酬不变或递减性质量,边际生产力必然递减。

(3)生产要素之间的替代率与替代弹性。生产一定数量的某种产品,可以使用不同的资本-劳动组合来实现,也就是说,生产要素之间具有替代性。

劳动对资本的边际技术替代率表示在产出量不变的条件下,增加一单位劳动可减少多少单位资本,其数值等于劳动的边际生产力对资本的边际生产力之比,用数学符号表示公式为:

替代弹性是从相对量上说明生产要素的边际技术替代率与生产要素投入比率之间关系的指标。劳动对资本的替代弹性定义为:劳动对资本的边际技术替代率变动1%,会使资本/劳动比率变动百分之几。

用公式表示为:

替代弹性值介于0与8之间。在市场经济中,生产要素之间的替代由要素价格的变动所引起。

当工资率相对于利息率下降时,生产中增加劳动使用量,减少资本使用量就较为有利。

参考文献:

[美]萨缪尔森,1982,《经济学》,商务印书馆。

[美]斯蒂格利茨,1997,《经济学》,中国人民大学出版社。

[美]D·S·沃森等,1983,《价格理论及其应用》,中国财政经济出版社。

[美]平狄克等,1997,《微观经济学》,中国人民大学出版社。

[法]J·勒卡荣,1982,《微观经济分析》,江苏人民出版社。

[美]克拉克森等,1993,《产业组织:理论、证据和公共政策》,上海三联书店。

[美]费朗茨,1993,《X效率:理论、论据和应用》,上海译文出版社。

随便看

 

离鸟网收录3541549条中英文词条,其功能与新华字典、现代汉语词典、牛津高阶英汉词典等各类中英文词典类似,基本涵盖了全部常用中英文字词句的读音、释义及用法,是语言学习和写作的有利工具。

 

Copyright © 2004-2024 vtrois.com All Rights Reserved
更新时间:2026/4/21 7:13:43