网站首页  词典首页


请输入您要查询的字词:

 

字词 生产任务最优分配问题数学模型
类别 中英文字词句释义及详细解析
释义 生产任务最优分配问题数学模型

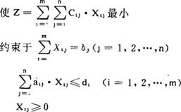
指在不超过设备生产能力的条件下,在各企业(各单位)之间分配生产任务,使生产的总成本最小。解决此间题的数学模型如下:

求Xij

式中:X1j表示第1个工厂生产第j种产品的数量;aij表示第i个工厂生产第j种产品所需要的设备台时数;Cij表示第i个工厂生产第j个产品的单位产品成本;d1表示第1个工厂的设备生产能力(台时表示);Z表示生产各种产品产量的总成本。

随便看

 

离鸟网收录3541549条中英文词条,其功能与新华字典、现代汉语词典、牛津高阶英汉词典等各类中英文词典类似,基本涵盖了全部常用中英文字词句的读音、释义及用法,是语言学习和写作的有利工具。

 

Copyright © 2004-2024 vtrois.com All Rights Reserved
更新时间:2026/4/21 3:38:32