网站首页  词典首页


请输入您要查询的字词:

 

字词 甜菜泵
类别 中英文字词句释义及详细解析
释义 甜菜泵

1.结构与性能

离心式甜菜泵已越来越多地被采用为扬送甜菜的设备,因为:(1)装置紧凑;(2)在目前的洗菜机前的扬送设备中具有最大的扬送高度(因此可能将洗菜机安在较高的楼层上,可取消提升机,并减少微生物的感染);(3)维修简便;(4)在输送过程中起著一定的洗涤甜菜作用。设备的结构见图2-10。

甜菜泵同扬送轮对比,机械效率低,耗用功率较大,特别是加工能力较小的工厂(水菜比大)。而且输送过程中甜菜会不同程度地受到磨损。磨损程度同叶轮结构、回转速度、菜水比、操作条件(如吸入空气将易于磨损)等有关。

为减轻甜菜的磨损,并减少阻力,扬送管内菜水混合物流速应限制在0.8~1.5米/秒内。

2.生产能力计算

式中 A——加工甜菜量(吨/日)

D——泵吸入管(叶轮进口处)直径(米)

v——菜水混合物吸入泵内的速度(米/秒),同泵的型式有关,为1.0~2.5米/秒

γ——甜菜和水混合物容重(公斤/米3)取1000

W——水重(%对甜菜)

有水力冲卸时为600~700%

无水力冲卸时为500%

甜菜泵的生产能力及产生的压头不能靠阀门来调节,而靠一定的转数来调节,此转数可按所需的流量及压头由泵的特性曲线所确定。

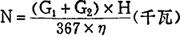
3.需用功率计算

式中 G1——扬送的甜菜量(吨/时)

G2——扬送的水量(吨/时)

H——扬送高度(米)

η——泵效率,取0.3~0.4

4.甜菜泵的规格

制糖设备系列化后,甜菜泵定有下列两种规格,以进口直径(毫米)计:300,400。

随便看

 

离鸟网收录3541549条中英文词条,其功能与新华字典、现代汉语词典、牛津高阶英汉词典等各类中英文词典类似,基本涵盖了全部常用中英文字词句的读音、释义及用法,是语言学习和写作的有利工具。

 

Copyright © 2004-2024 vtrois.com All Rights Reserved
更新时间:2026/4/18 16:50:02