网站首页  词典首页


请输入您要查询的字词:

 

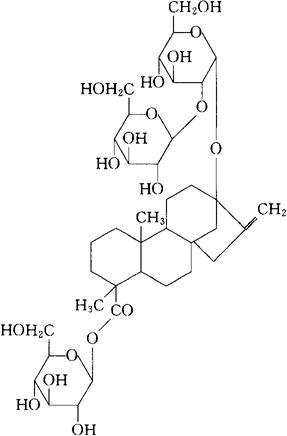
字词 甜菊总甙
类别 中英文字词句释义及详细解析
释义 甜菊总甙

C38H60O18=804.90

以甜菊甙(Stevioside C38H60O18)为主的混合物。

13-[(2-O-β-D-吡喃葡糖基-α-D-吡喃葡糖基)氧]-贝壳杉-16-烯-18-酸βD-吡喃葡萄糖酯。

13-[(2-O-β-D-Glucopyranosyl-α-D-glucopyranosyl)oxy]-kaur-16-en-18-oic acid β-D-glucopyranosylester,(4α).

用于保健食品、饮料及医药品的甜味剂。

甜叶菊甙,糖菊甙,甜茶素。

Stevioside.

随便看

 

离鸟网收录3541549条中英文词条,其功能与新华字典、现代汉语词典、牛津高阶英汉词典等各类中英文词典类似,基本涵盖了全部常用中英文字词句的读音、释义及用法,是语言学习和写作的有利工具。

 

Copyright © 2004-2024 vtrois.com All Rights Reserved
更新时间:2026/4/19 9:12:13