网站首页  词典首页


请输入您要查询的字词:

 

字词 甜杏仁
类别 中英文字词句释义及详细解析
释义 甜杏仁

【概况】:

基源 为蔷薇科杏属植物野杏或山杏的部分栽培种,如河北的白玉扁、龙王扁、北山大扁、陕西的迟梆子、克拉拉味甜的干燥种子。

原植物 野杏Armeniaca vulgaris Lam.var.ansu(Maxim.)Yü et Lu(Prunus armeniaca L.var.ansu Maxim.)或杏Armeniaca vulgaris Lam.(Prunus armeniaca L.)。

余项参见“杏仁”条。

【生药】:

采集 果实成熟时采摘,除去果肉及核壳,取种子晾干。

加工时拣净杂质,置沸水中略煮,待皮微皱起时捞出,浸入凉水中,脱去种皮,晒干簸净。药材主产于河北、北京、山东。此外陕西、四川、内蒙古、甘肃、新疆、山西及东北亦产。本品在江苏、山东、河南、四川、陕西等地有时作巴旦杏仁使用。

鉴别 干燥种子呈扁心脏形,长1.6~2.1cm,宽1.2~1.6cm,顶端尖,基部圆,左右对称,种脊明显,种皮较苦杏仁为厚,淡黄棕色,自合点处分散出许多深棕色脉纹,形成纵向凹纹。断面白色,子叶接合面常见空隙。

气微,味微甜。以颗粒均匀而大、饱满肥厚、不发油者为佳。

贮藏 置阴凉干燥处,防鼠,防蛀。

。【化学】:

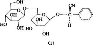
含苦杏仁甙(Amygdalin)(1)、脂肪油含量为50%,主要含α-桐油酸(α-Elaeostearic acid)、胆甾醇、雌性酮(Estrone)、雌二醇。

参考文献 江苏省植物研究所等.新华本草纲要.第3册.上海科学技术出版社,1990∶111

【药性】:

性味 ❶ 《本草便读》:“甘,平。”
❷ 《四川中药志》:“甘,平。”

归经 《四川中药志》:“入肺、大肠二经。”

功效 润肺,平喘,止咳。

主治 虚劳咳喘,肠燥便秘。 ❶ 《现代实用中药》:“有滋润性,内服具轻泻作用,有滋补之效。外用于表皮剥脱时作敷料,呈保护作用。


❷ 《四川中药志》:“能润肺宽胃,祛痰止咳。治虚劳咳嗽气喘,心腹逆闷,尤以治干性、虚性之咳嗽最宜。”

用法用量 内服:煎汤,6~9g;或入丸剂。外用:捣敷。

。【临床应用】:

方选和验方 ❶ 《安徽中草药》:“治肺痨久咳:甜杏仁、麦门冬各9g,百部12g,川贝母、炙甘草各6g,煎服。”
❷ 《安徽中草药》:“治肠燥便秘:甜杏仁(或苦杏仁)、当归、生地、火麻仁各9g,水煎服,服时加蜂蜜适量同用。”
❸ 《中草药学》:“治肺气不宣,大便秘结:甜杏仁3~9g,火麻仁、桃仁、柏子仁、桔梗等煎服(本品不能过量应用)。”

单方应用 ❶ 《本草从新》:“治虚劳咳嗽,气喘,肠燥便秘:甜杏仁6~9g,煎服。”
❷ 《中草药学》:“治肺虚咳嗽,大便干燥:甜杏仁4.5~9g,水煎服。”

。【医药家论述】:

张秉成《本草便读》:“甜杏仁,可供果食,主治(与杏仁)亦皆相仿。用于虚劳咳方中,无苦劣之性耳。”

随便看

 

离鸟网收录3541549条中英文词条,其功能与新华字典、现代汉语词典、牛津高阶英汉词典等各类中英文词典类似,基本涵盖了全部常用中英文字词句的读音、释义及用法,是语言学习和写作的有利工具。

 

Copyright © 2004-2024 vtrois.com All Rights Reserved
更新时间:2026/4/18 22:59:43