网站首页  词典首页


请输入您要查询的字词:

 

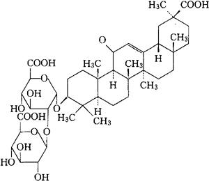
字词 甘草酸[中]
类别 中英文字词句释义及详细解析
释义 甘草酸[中]

C42H62O16=822.92

CAS-1045-86-3

20β-羧基-11-氧-30-去甲齐墩果-12-烯3β-基-2-O-β-D-吡喃葡萄糖醛基α-D-吡喃葡萄糖醛酸。

20β-Carboxy-11-oxo-30-norolean-12-en-3β-yl-2-O-β-D-glucopyranuronosyl-α-D-glucopyranosiduronlc acid.

肾上腺皮质激素药。用于治疗风湿关节炎、气喘、过敏性及职业性皮炎或溃疡等。

甘草皂甙,甘草甜素。

Glycyrrhizic Acid,Glycyrrhetinic Acid Glycoside,Glycyrrhizin.

MI.

随便看

 

离鸟网收录3541549条中英文词条,其功能与新华字典、现代汉语词典、牛津高阶英汉词典等各类中英文词典类似,基本涵盖了全部常用中英文字词句的读音、释义及用法,是语言学习和写作的有利工具。

 

Copyright © 2004-2024 vtrois.com All Rights Reserved
更新时间:2026/4/21 17:31:45