甘罗溴铵[部]
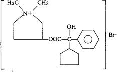
C19H28BrNO3=398.34 CAS-596-51-0 3-[(环戊基羟苯基乙酰基)氧]1,1-二甲基吡咯烷鎓溴化物。 3-[(Cyclopentylhydroxyphenylacetyl)oxy]-1,1-dimethyl-pyrrolidinium,bromide. 溴化3-羟-1,1-二甲基吡咯烷α-环戊基扁桃酸酯。 3-Hydroxy-1,1-dimethylpyrrolidinium bromide α-cyclopentylmandelate. 抗胆碱药。用于胃、十二指肠溃疡及慢性胃炎等。 胃长宁,甲吡戊痉平,格隆溴铵。 Glycopyrrone Bromide,Glycopyrrolate,Robinul,Gastrodyn,AHR-504. 甘罗溴铵片(胃长宁片)。 INN,BAN,DCF,JAN,NF,NFN,USAN,USP,MI.  |