网站首页  词典首页


请输入您要查询的字词:

 

字词 甘氯喘[中]
类别 中英文字词句释义及详细解析
释义 甘氯喘[中]

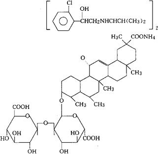
(C11H16ClNO)2·C42H65NO16=1267.40

邻-氯-α-[[(异丙氨基)甲基]苯甲醇]的甘草酸铵复盐。

o-Chloro-α-[[(isopropylamino)methyl]benzyl alcohol]ammonium glycyrrhizinate(2∶1).

平喘药。用于支气管哮喘和喘息型支气管炎。

甘草酸铵氯喘,甘氯喘通。

Clorprenaline Glycyrrhizinate,Isoprophenamine.

甘氯喘含片,甘氯喘所气雾剂。

随便看

 

离鸟网收录3541549条中英文词条,其功能与新华字典、现代汉语词典、牛津高阶英汉词典等各类中英文词典类似,基本涵盖了全部常用中英文字词句的读音、释义及用法,是语言学习和写作的有利工具。

 

Copyright © 2004-2024 vtrois.com All Rights Reserved
更新时间:2026/4/18 18:12:21