瓦尔拉斯法则
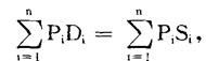
考虑一个纯交换经济,即市场上仅有消费者,他们带著自己的初始财货到市场上进行交换。 当市场上有n种财货交换时只须考虑相对价格,例如把第n种财货取作价格比较的基础,即设pn=1。记第i种财货的相对价格为pi(i=1,…,n-1)。 用Di记对第i种财货的总需求,Si记对i种财货的总供给。瓦尔拉斯法则是指:  即对货币的总需求量等于对货币的总供给量。 有时把上式改写成 p·(D-S)=0 的形式,其中(D-S)称为超需(ExcessDemand),于是瓦尔拉斯法则也可以说成超需的价值等于零。 在有n种财货的经济中,如果有(n-1)种财货达到市场清理(即总需求等于总供给),则由瓦尔拉斯法则,剩下的那一种财货自然达到市场清理状态。 例如,设对前(n-1)种财货有Di=Si,i=1,…,n-1,则由瓦尔拉斯法则#piDi=#piSi推出pnDn=pnSn,从而有Dn=Sn。 |