网站首页  词典首页


请输入您要查询的字词:

 

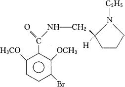
字词 瑞莫必利
类别 中英文字词句释义及详细解析
释义 瑞莫必利

C16H23BrN2O3=371.27

CAS-80125-14-0

CAS-82935-42-0(as hydrochloride)

(S)-3-溴-N-[(1-乙基-2-吡咯烷基)甲基]-2,6-二甲氧苯甲酰胺。

(S)-3-Bromo-N-[(1-ethyl-2-pyrrolidinyl)methyl]-2,6-dimethoxybenzamide.

抗精神病药,多巴胺受体拮抗药。

Remoxipride,A33547,FLA 731.

INN,USAN.

随便看

 

离鸟网收录3541549条中英文词条,其功能与新华字典、现代汉语词典、牛津高阶英汉词典等各类中英文词典类似,基本涵盖了全部常用中英文字词句的读音、释义及用法,是语言学习和写作的有利工具。

 

Copyright © 2004-2024 vtrois.com All Rights Reserved
更新时间:2026/4/18 20:18:50