网站首页  词典首页


请输入您要查询的字词:

 

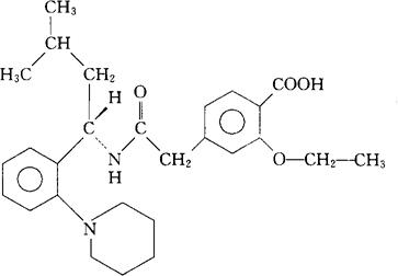
字词 瑞格列奈
类别 中英文字词句释义及详细解析
释义 瑞格列奈

C27H36N2O4=452.59

CAS-135062-02-

(+)-2-乙氧-α-[[(S)-α-异丁基-邻-哌啶苄基]氨基甲酰基]-对-甲苯甲酸。

(+)-2-Ethoxy-α-[[(S)-α-isobutyl-o-piperidinobenzyl]carbamoyl]-p-toluic acid.

降血糖药。

Repaglinide.

INN,USAN.

随便看

 

离鸟网收录3541549条中英文词条,其功能与新华字典、现代汉语词典、牛津高阶英汉词典等各类中英文词典类似,基本涵盖了全部常用中英文字词句的读音、释义及用法,是语言学习和写作的有利工具。

 

Copyright © 2004-2024 vtrois.com All Rights Reserved
更新时间:2026/4/18 14:26:17