网站首页  词典首页


请输入您要查询的字词:

 

字词 瑞普米星
类别 中英文字词句释义及详细解析
释义 瑞普米星

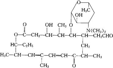
C31H51NO8=565.75

CAS-56689-42-0

12,13-去环氧-12,13-二去氧-4′-去氧-卷须霉素A1

12,13-Deepoxy-12,13-didehydro-4′-deoxy-cirramycin A1

16-乙基-4-羟-5,9,13,15-四甲基-2,10-二氧代-6-[[3,4,6-三去氧-3-(二甲氨基)-β-D-木-吡喃己糖基]氧]氧杂环十六碳-11,13-二烯7-乙醛。

16-Ethyl-4-hydroxy-5,9,13,15-tetramethyl-2.10-dioxo-6-[-[3,4,6-trideoxy-3-(dimethylamino)-β-Dxylo-hexopyranosyl]oxy]oxacyclohexadeca-11,13-diene-7-acetaldehyde.

抗生素类药,抗菌药。

Repromicin,Sch 16524,Antibiotic Sch 16524,M 4365G,Antibiotic M 4365 G.

INN,USAN.

随便看

 

离鸟网收录3541549条中英文词条,其功能与新华字典、现代汉语词典、牛津高阶英汉词典等各类中英文词典类似,基本涵盖了全部常用中英文字词句的读音、释义及用法,是语言学习和写作的有利工具。

 

Copyright © 2004-2024 vtrois.com All Rights Reserved
更新时间:2026/4/18 15:32:21