网站首页  词典首页


请输入您要查询的字词:

 

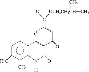
字词 瑞吡司特
类别 中英文字词句释义及详细解析
释义 瑞吡司特

C20H21NO5=359.39

CAS-73080-51-0

5,6-二氢-7,8-二甲基-4,5-二氧代-4H-吡喃并[3,2c]喹啉-2-羧酸3-甲基丁酯。

5,6-Dihydro-7,8-dimethyl-4,5-dioxo-4H-pyrano[3,2-c]quinoline-2-carboxylic acid,3-methylbutyl ester.

5,6-二氢-7,8-二甲基-4,5二氧代-4H-吡喃并[3,2-c]喹啉-2-羧酸异戊酯。

Isopentyl 5,6-dihydro-7,8-dimethyl-4,5-dioxo-4Hpyrano[3,2-c]quinoline-2-carboxylate.

抗过敏药,平喘药。

Repirinast,MY-5116.

INN,USAN,MI.

随便看

 

离鸟网收录3541549条中英文词条,其功能与新华字典、现代汉语词典、牛津高阶英汉词典等各类中英文词典类似,基本涵盖了全部常用中英文字词句的读音、释义及用法,是语言学习和写作的有利工具。

 

Copyright © 2004-2024 vtrois.com All Rights Reserved
更新时间:2026/4/17 16:07:34