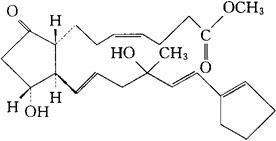
瑞前列醇
C25H36O5=416.56 CAS-110845-89-1A (±)-(Z)-7-[(1R,2R,3R)-2-[(1E,5E)-(4RS)-6-(1-环戊烯-1-基)-4-羟-4-甲基-1,5-己二烯基]-3-羟-5-氧代-环戊基]-4-庚烯酸甲酯。 (±)-Methyl(Z)-7-[[(1R,2R,3R)-2-[(1E,5E)-(4RS)-6-(1-cyclopenten-1-yl)-4-hydroyx-4-methyl1,5-hexadienyl]-3-hydroxy-5-oxocyclo-pentyl]-4-heptenoate. 前列腺素类药,抗溃疡药。 Remiprostol. INN,USAN.  |