琥珀酸环丙法朵
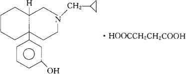
C19H27NO·C4H6O4=403.52 CAS-60719-85-9 CAS-59889-36-0(ciprefadol) (-)-反式-3-[2-(环丙甲基)八氢-4a(2H)-异喹啉基]苯酚,丁二酸盐(1∶1)。 trans,3-[2-(Cyclopropylmethyl)octahydro-4a(2H)isoquinolinyl]-,(-)-,phenol,butanedioate(1∶1) (salt). (-)-间-[2-(环丙甲基)-1,3,4,5,6,7,8,8aα-八氢-4aβ(2H)-异喹啉基]苯酚琥珀酸盐(1∶1)。 (-)-m-[2-(Cyelopropylmethyl)-1,3,4,5,6,7,8,8aα-octahydro-4aβ(2H)-isoquinolyl]-phenol succinate(1∶1)(salt). 镇痛药。 琥珀酸环丙法多。 Ciprefadol Succinate,Compound 113878. INN(Ciprefadol).  |