网站首页  词典首页


请输入您要查询的字词:

 

字词 琥珀酸拉伏替丁
类别 中英文字词句释义及详细解析
释义 琥珀酸拉伏替丁

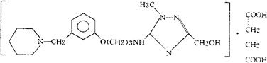
(C19H29N5O2)2·C4H6O4=1196.50

CAS-86160-82-9

CAS-76956-02-0(lavoltidine)

1-甲基-5-[[3-[-(1-哌啶基甲基)苯氧]丙基]氨基]

1H-1,2,4-三唑-3-甲醇,丁二酸(2∶1)盐。

1-Methyl-5-[[3-[3-(1-piperidinylmethyl)phenoxy]propyl]amino]-IH-1,2,4-triazole-3-methanol,butanedioate(2∶1)(salt).

1-甲基-5-[[3-[(α-哌啶基-间-甲苯基)氧]-丙基]氨基]-1H-1,2,4-三唑-3-甲醇琥珀酸(2∶1)盐。

1-Methyl-5-[[3-[(α-piperidino-m-tolyl)oxy]propyl]amino]-1H-1,2,4-triazole-3-methanol succinate(2∶1)(salt).

组胺H2-受体阻滞药。

拉伏替丁琥珀酸盐。

Lavoltidine Succinate,AH 23844A,AH23844 Lavoltidine,Loxotidine.

INN & BAN(Lavoltidine),USAN.

随便看

 

离鸟网收录3541549条中英文词条,其功能与新华字典、现代汉语词典、牛津高阶英汉词典等各类中英文词典类似,基本涵盖了全部常用中英文字词句的读音、释义及用法,是语言学习和写作的有利工具。

 

Copyright © 2004-2024 vtrois.com All Rights Reserved
更新时间:2026/4/18 2:23:16