琥珀酸孕烯诺龙
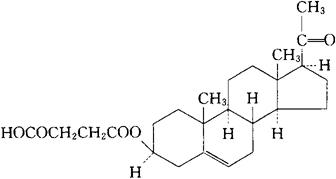
C25H36O5=416.56 CAS-4598-67-8 CAS-145-13-1(pregnenolone) (3β)-3-(3-羧-1-氢代丙氧)孕甾-5-烯-20-酮。 (3β)-3-(3-Carboxy-1-oxopropoxy)pregn-5-en-20-one. 3β-羟孕甾-5-烯-20-酮氢琥珀酸酯。 3β-Hydroxypregn-5-en-20-one hydrogen succinate. 肾上腺皮质激素类药。 Pregnenolone Succinate. INN(Pregnenolone),USAN.  |