网站首页  词典首页


请输入您要查询的字词:

 

字词 理论计算
类别 中英文字词句释义及详细解析
释义 理论计算

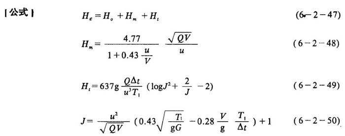
式中 He——烟气的有效高度(m)

H——烟囱的实际高度(m)

Hm——烟气的动能作用而引起的上升高度(m)

Ht——烟气温差的浮力作用而引起的上升高度(m)

V——烟气的排出速度(m/s)

U——风速(m/s),大气平均风速取6m/s

Q——温度为T1时的烟气排出量(m3/s)

T1——烟气密度等于大气密度时的温度(K),取288K

Δt——烟气温度和大气T1之间的温度差(℃)

G——温度梯度(℃/m)

g——重力加速度(9.806m/s2)

随便看

 

离鸟网收录3541549条中英文词条,其功能与新华字典、现代汉语词典、牛津高阶英汉词典等各类中英文词典类似,基本涵盖了全部常用中英文字词句的读音、释义及用法,是语言学习和写作的有利工具。

 

Copyright © 2004-2024 vtrois.com All Rights Reserved
更新时间:2026/4/18 14:23:11