网站首页  词典首页


请输入您要查询的字词:

 

字词 理想变压器的基本关系式
类别 中英文字词句释义及详细解析
释义 理想变压器的基本关系式

1.电压比:

即变压器原、副线圈的路端电压与两个线圈的匝数成正比,当n2>n1时,变压器为升压变压器,当n21时,变压器为降压变压器.

有一个原线圈,多个副线圈时,总有:U1∶U2∶U3……=n1∶n2n3…….

2.能量关系:

对理想变压器因不计能量损失,总有输入能量等于输出能量.

一个原线圈一个副线圈时有:

P1=P2即U1I1=U2I2

若有一个原线圈多个副线圈时:

P1=P2+P3+……即U1I1=U2I2+U3I3+…….

3.电流关系:

在理想变压器中,因输入能量等于输出能量

若只有一个副线圈时:P1=P2

U1I1=U2I2故I1∶I2=n2∶n1

若有两个副线圈时,I1U1=I2U2+I3U3. ❶ 

同时满足:U1∶U2∶U3=n1∶n2∶n3.❷ 

由❶ ❷ 可计算得出:n1I1=n2I2+n3I3

4.频率关系:

变压器不改变交流的频率,故有f1=f2

注意 ❶ 变压器不能改变直流电压;

❷ 细线绕制的线圈为高压线圈,粗线绕制的线圈为低压线圈.

❸ U1与n1、n2共同确定U2,I2与n1、n2共同确定I1,P2确定P1

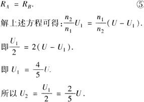
例 如下图所示,理想变压器原副线圈接有相同的灯泡4、B,原、副线圈匝数n1∶n2=2∶1,交变电源电压为U,则B灯两端电压为__.

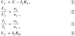
解 灯泡A串联在原线圈电路中,原线圈两端电压U1=U—I1R4,再利用理想变压器原、副线圈电压、电流与匝数间的关系求解.

设原线圈电压为U1,电流为I1,副线圈电压为U2,电流为I2,则

依题意,A、B完全相同有

随便看

 

离鸟网收录3541549条中英文词条,其功能与新华字典、现代汉语词典、牛津高阶英汉词典等各类中英文词典类似,基本涵盖了全部常用中英文字词句的读音、释义及用法,是语言学习和写作的有利工具。

 

Copyright © 2004-2024 vtrois.com All Rights Reserved
更新时间:2026/4/17 22:01:04