网站首页  词典首页


请输入您要查询的字词:

 

字词 班布特罗
类别 中英文字词句释义及详细解析
释义 班布特罗

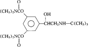
C18H29N3O5=367.45

CAS-81732-65-2

(±)-5-[2-(叔-丁基氨基)-1-羟基乙基]-间-亚苯基双(二甲基氨基甲酸酯)。

(±)-5-[2-(tert-Butylamino)-1-hydroxyethyl]-mphenylenebis(dimethylcarbamate).

支气管扩张药。

Bambuterol.

INN,BAN,USAN,MI.

随便看

 

离鸟网收录3541549条中英文词条,其功能与新华字典、现代汉语词典、牛津高阶英汉词典等各类中英文词典类似,基本涵盖了全部常用中英文字词句的读音、释义及用法,是语言学习和写作的有利工具。

 

Copyright © 2004-2024 vtrois.com All Rights Reserved
更新时间:2026/4/18 7:24:40