网站首页  词典首页


请输入您要查询的字词:

 

字词 玻璃酸
类别 中英文字词句释义及详细解析
释义 玻璃酸

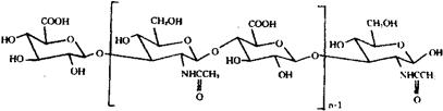
(C14H21NO11)n

CAS-9004-61-9

分子量是在50,000至8×106的范围内,是一天然高粘度的粘多糖。

玻璃酸。

Hyaluronic Acid,Hyalastine,Hyalectine.

外科辅料(眼科用药)。

透明质酸。

BAN,MI.

随便看

 

离鸟网收录3541549条中英文词条,其功能与新华字典、现代汉语词典、牛津高阶英汉词典等各类中英文词典类似,基本涵盖了全部常用中英文字词句的读音、释义及用法,是语言学习和写作的有利工具。

 

Copyright © 2004-2024 vtrois.com All Rights Reserved
更新时间:2026/4/20 18:05:45