现值
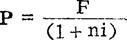
“终值”的对称。 指一定货币量在现在时间的价值。在某一或若干规定时间收到或支付一定量货币时,通常需按一定的折现率并结合延续的年限计算其现值。 现值有单利和复利之分。 单利是只就本金计算利息。 一次付款现值可通过一次付款终值的逆运算求得:  式中,P表示一次付款现值,F表示一次付款终值,i表示折现率,n表示年限。 复利不仅计算本金的利息,还计算利息的利息。 复利的现值计算公式为:  现值通常按复利计算。现值除了一次付款的情况外,尚有系列付款现值和年金现值的形式。年金现值又有普通年金现值、即付年金现值、递延年金现值、永续年金现值等。在实际工作中,不同折现率计算的不同年限的每元现值,一般可直接查现成的现值系数表。用一定量货币乘现值系数可求得现值总额。现值计算在长期决策中有重要作用,它可把投资与投资带来的利益二者的错位现象以及不同年限的收支换算成相同时间价值的收支,在可比的条件下进行收支对比,正确计算投资项目的经济效益。 |