网站首页  词典首页


请输入您要查询的字词:

 

字词 环索奈德
类别 中英文字词句释义及详细解析
释义 环索奈德

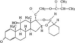
C32H44O7=540.70

CAS-126544-47-6

11β,16α,17,21-四羟-孕甾-1,4-二烯-3,20-二酮,环16,17-乙缩醛,21-异丁酸酯。

11β,16α,17,21-Tetrahydroxy-pregna-1,4-diene-3,20-dione,cyclic 16,17-acetal with cyclohexane-carboxaldehyde,21-isobutyrate.

肾上腺皮质激素类药。

Ciclesonide.

USAN.

随便看

 

离鸟网收录3541549条中英文词条,其功能与新华字典、现代汉语词典、牛津高阶英汉词典等各类中英文词典类似,基本涵盖了全部常用中英文字词句的读音、释义及用法,是语言学习和写作的有利工具。

 

Copyright © 2004-2024 vtrois.com All Rights Reserved
更新时间:2026/4/17 15:15:59