网站首页  词典首页


请输入您要查询的字词:

 

字词 环状糊精
类别 中英文字词句释义及详细解析
释义 环状糊精

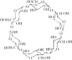
又称环状麦芽寡糖。

6~12个D-吡喃葡萄糖基以α1→4糖苷键头尾连接而成的环状寡糖。研究较多的有3种,含6个、7个和8个D-吡喃葡萄糖基,分别称为环六糊精(α-环状糊精)、环七糊精(β-环状糊精)和环八糊精(γ-环状糊精)。环六糊精的结构式如左。由存在于芽孢杆菌(如软化芽孢杆菌、环状芽孢杆菌和嗜热脂肪芽孢杆菌等)中的环状糊精转糖基酶催化,将直链淀粉或支链淀粉的外围支链转变而成。具有一定程度的阻抗酸、碱和酶的作用,可与某些小分子或离子形成包含络合物,能像酶一样催化酯类水解。作为稳定剂、乳化剂、抗氧化剂、抗光解剂和增溶剂,已大量地应用于食品、医药、化工和轻工业等方面。

随便看

 

离鸟网收录3541549条中英文词条,其功能与新华字典、现代汉语词典、牛津高阶英汉词典等各类中英文词典类似,基本涵盖了全部常用中英文字词句的读音、释义及用法,是语言学习和写作的有利工具。

 

Copyright © 2004-2024 vtrois.com All Rights Reserved
更新时间:2026/4/18 7:01:38