网站首页  词典首页


请输入您要查询的字词:

 

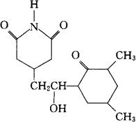
字词 环己米特
类别 中英文字词句释义及详细解析
释义 环己米特

C15H23NO4=281.35

CAS-66-81-9

[1S-[1α(S*),3α,5β]]-4-[2-(3,5-二甲基-2-氧代环己基)-2-羟乙基]-2,6-哌啶二酮。

[1S-[1α(S*),3α,5β]]-4-[2-(3,5-Dimethyl-2-oxocyclohexyl)-2-hydroxyethyl]-2,6-piperidinedione.

3-[(R)-2-[(1S,3S,5S)-3,5-二甲基-2-氧代环乙基]-2-羟基乙基]戊二酰亚胺。

3-[(R)-2-[(1S,3S,5S)-3,5-Dimethyl-2-oxocyclo hexyl]-2-hydroxyethyl]glutarimide.

抗真菌药。

环己哌酮。

Cicloheximede,Cycloheximide,Actidione,U-4527.

INN,USAN.IP,JP,USP,MI.

随便看

 

离鸟网收录3541549条中英文词条,其功能与新华字典、现代汉语词典、牛津高阶英汉词典等各类中英文词典类似,基本涵盖了全部常用中英文字词句的读音、释义及用法,是语言学习和写作的有利工具。

 

Copyright © 2004-2024 vtrois.com All Rights Reserved
更新时间:2026/4/19 11:31:54