网站首页  词典首页


请输入您要查询的字词:

 

字词 环孕醇
类别 中英文字词句释义及详细解析
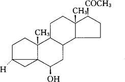
释义 环孕醇

C21H32O2=316.48

CAS-465-53-2

6β-羟-3,5-环孕(甾)烷-20-酮。

6β-Hydroxy-3,5-cyclopregnan-20-one.

甾体激素类药,治疗精神病药。

环孕甾醇酮。

Cyclopregnol,Neurosterone.

INN,USAN,MI.

随便看

 

离鸟网收录3541549条中英文词条,其功能与新华字典、现代汉语词典、牛津高阶英汉词典等各类中英文词典类似,基本涵盖了全部常用中英文字词句的读音、释义及用法,是语言学习和写作的有利工具。

 

Copyright © 2004-2024 vtrois.com All Rights Reserved
更新时间:2026/4/18 9:47:00