网站首页  词典首页


请输入您要查询的字词:

 

字词 猴头菌
类别 中英文字词句释义及详细解析
释义 猴头菌

【名称出处】:《中国药用真菌》

【概况】:

异名 猴头(《中国的真菌》)。

基源 为齿菌科猴头菌属真菌猴头菌的子实体。

原植物 猴头菌 Hericium erinaceum(Bull.ex Fr.)Pers.,又名猴菇、猴头菇(上海),猬菌、刺猬菌(《中国药用真菌》)。

历史 《新华本草》:三国,吴、沈莹《临海水土异物志》载:“民皆好啖猴头羹,虽五肉臛不能及之。”其俗言:“宁负千石之粟,不愿负猴头羹纵。”明·徐光启《农政全书》载:“如天花、麻姑、鸡,猴头之属,皆草木根腐坏而成者。”所言皆系本品。

形态 子实体肉质,新鲜时白色,干燥后浅黄色至浅褐色,块状,形似猴子的头,直径3~10cm,基部较窄;子实层著生于菌刺上;菌刺长圆筒形,下端尖锐,长1~3cm,粗1~2mm。孢子无色,球形至近球形,表面平滑,直径5~7μm。(图见《中国药用孢子植物》.335页.图500)

生境与分布 生于阔叶树的树干和腐木上。江苏、上海等地已有人工培育。分布于黑龙江、吉林、内蒙古、河北、山西、甘肃、河南、湖南、广西、四川、云南等省区。

【化学】:

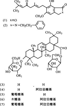
猴头菇含多糖、糖蛋白、氨基酸、挥发油[1,2],含猴菇烯酮A(Hericenone A)(1)及猴烯菇酮B(Hericenone B)(2)[3]

从猴菇菌培养物中分离得到齐墩果酸皂甙Ⅰ(3)、Ⅱ(4)、Ⅲ(5)、Ⅳ(6)、V(7)[4],猴菇菌素Ⅲ(Hericrin Ⅲ)(8)、猴菇菌素Ⅳ(HencrinⅣ)(9)、4-氯-3.5-二甲氧基苯甲酸、4-氯-3.5-二甲氧基苯甲酸甲酯、4-氯-3.5-二甲氧基苯甲酸-O-阿拉伯糖酯甙,尚有棕榈酸、硬脂酸、花生酸、山萮酸、二十四烷酸混合物、5α-麦角甾烷-3-酮与5α-豆甾-22-烯-3-酮,以及5α-豆甾烷-3-酮的混合物[5]

猴头菇可食用与药用,曾有猴头菌片生产[6,7]。另参见“珊瑚状猴头菌”。

参考文献 [1] 南京药学院学报 1986;17(2):129 [2] 中国药用孢子植物.上海科学技术出版社,1982:210 [3] Tetrahedron Lett 1990;31(3):373 [4] 中草药 1988;19(7):290 [5] 药学学报 1990;25(7):522 [6] 长白山植物药志 吉林人民出版社,1982:27 [7] 中草药通讯 1978;(1):29。

【药理】:

❶ 对免疫功能的影响 小鼠ip猴头多糖0.2mg/只,连续7d,给药的d5,ip蛋白胨淀粉浆1ml,d8 ip3ml 1%鸡红细胞悬液,用爬片法试验计数巨噬细胞。

结果与对照组比较吞噬百分率和吞噬指数,均有显著性差异,其中吞噬指数提高4.5倍,吞噬百分率提高0.77倍;C57/BL6纯种小鼠,ip给于猴头多糖1mg/只,连续8d,给药的d4,ip SRBC悬液0.2ml/只,d8后测定半数溶血值HC50。结果,用药组小鼠血清中溶血素的含量明显高于对照组,表明猴头多糖能明显增加小鼠血清中溶血素(IgM)的含量,具有增强机体体液免疫的功能;小鼠ip猴头多糖2.88mg/只,至d7,各鼠分别ip环磷酰胺2mg,以后仍每天给药1次,至d9,从眼眶静脉采血检查白细胞数。结果给药组可明显对抗环磷酰胺中毒引起的白细胞下降[1]

❷ 降血糖 猴头多糖25mg/kg ip,可降低正常小鼠的血糖,对四氧嘧啶引起的糖尿病小鼠,也有降血糖作用[2]

❸ 延缓衰老作用 猴头菌菌丝体多糖(HMP)0.5%对雄果蝇飞翔能力可明显提高至129%。猴头菌子实体多糖(HP)100,50mg/kg,ip给于小鼠,可使小鼠心肌脂褐质含量分别下降27.4%和17.6%,而子实体蛋白多糖(HPP)则作用较差。

HP和HPP 50,100mg/kg,ip给于小鼠,可使小鼠脑和肝脏中SOD的比活力均有明显增加,HP 50mg/kg,对脑和肝脏SOD活力最多可分别提高71%和56%,而HPP作用稍差[3]

参考文献 [1] 南京药学院学报 1986;17(2):129 [2] 中国药科大学学报 1989;20(6):378 [3] 中国药科大学学报 1991;22(2):86

。【药性】:

性味 《中国药用孢子植物》:“甘,平。”

功效 利五脏,助消化,抗癌。

主治 消化不良,神经衰弱,胃和十二指肠溃疡,慢性胃炎,胃癌,食道癌等消化道恶性肿瘤。

《全国中草药汇编》:“消化不良,神经衰弱,身体虚弱。”

用法用量 内服:煎汤,60g(水浸软后,切成薄片),日服2次,黄酒为引。或猴头菌(干品)150g切片后与鸡共煮食用,日服1次(或用鸡汤煮食)。

。【临床应用】:

单方应用 《福建药物志》:“治消化不良,神经衰弱,身体虚弱:猴头菌60~250g。切片,水煎服。或与鸡共煮食,1日服1次。”

随便看

 

离鸟网收录3541549条中英文词条,其功能与新华字典、现代汉语词典、牛津高阶英汉词典等各类中英文词典类似,基本涵盖了全部常用中英文字词句的读音、释义及用法,是语言学习和写作的有利工具。

 

Copyright © 2004-2024 vtrois.com All Rights Reserved
更新时间:2026/4/18 12:00:34