猕猴桃枝叶
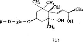
【概况】: 基源 为猕猴桃科猕猴桃属植物中华猕猴桃的枝叶。 原植物 中华猕猴桃Actinidia chinensis Planch. 余项参见“猕猴桃”条。 【化学】: 茎含氨基酸,多量精氨酸,相当量赖氨酸,亮氨酸,丙氨酸及天门冬酰胺[1]。 从新鲜叶得新的葡萄糖甙猕猴桃甙(Kiwiionoside)结构如(1)式[2]。  参考文献 [1] 江苏新医学院.中药大辞典.上海人民出版社,1977∶4593 [2] Planta Med.1992;58(1)∶112 【药性】: 主治 ❶ 《开宝本草》:“杀虫。” ❷ 《湖南药物志》:“烫伤。” ❸ 《福建民间草药》:“乳痈。” 用法用量 外用:适量,捣敷。 。【临床应用】: 单方应用 ❶ 《福建民间草药》:“治乳痈:鲜猕猴桃叶30g,加适量红糖、酒糟捣烂,加热外敷,日2次。” ❷ 《湖南药物志》:“治烫伤:猕猴桃叶捣烂,加石灰少许,敷患处。” |