网站首页  词典首页


请输入您要查询的字词:

 

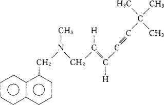
字词 特比萘芬
类别 中英文字词句释义及详细解析
释义 特比萘芬

C21H25N=291.44

CAS-91161-71-6

l-萘甲烷胺,N-(6,6-二甲基-2-庚烯-4-炔基)-N-甲基-,(E)-。

1-Naphthalenemethanamine,N-(6,6-dimethyl-2-hepten-4-ynyl)-N-methyl-,(E)-.

(E)-N-(6,6-二甲基-2-庚烯-4-炔基)-N-甲基-1-萘甲烷胺。

(E)-N-(6,6-Dimethyl-2-hepten-4-ynyl)-N-methyl1-naphthalenemethylamine.

抗真菌药。

Terbinafine,SF 86-327.

INN,BAN,USAN.

随便看

 

离鸟网收录3541549条中英文词条,其功能与新华字典、现代汉语词典、牛津高阶英汉词典等各类中英文词典类似,基本涵盖了全部常用中英文字词句的读音、释义及用法,是语言学习和写作的有利工具。

 

Copyright © 2004-2024 vtrois.com All Rights Reserved
更新时间:2026/4/17 19:05:28