网站首页  词典首页


请输入您要查询的字词:

 

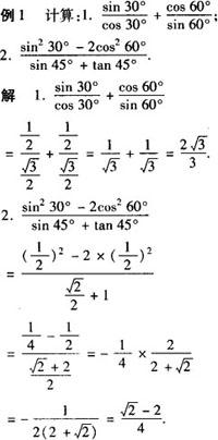
字词 特殊角的三角函数值
类别 中英文字词句释义及详细解析
释义 特殊角的三角函数值

例2 △ABC中,如果cosA是方程2x2-5x+2=0的一个根,则∠A等于( ).

A.60° B.30°

C.45° D.90°

答 A.

[解析] 由题意可得2cos2A-5cosA+2=0,

故选A.

例3 已知△ABC中,(sinA-1/2)2+|

则∠C=__.

答 120°

[解析] 由非负数性质可知

∴∠A=30°,∠B=30°,∠C=120°.

例4 在△ABC中,∠C是最大的角,且|sin2A-1/2|+(2cos2B-1)2=0,试判定△ABC的形状.

∴∠A=∠B=45°.∴∠C=90°.

∴△ABC为等腰直角三角形.

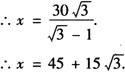
例5 在地面上一点D,测得一电视塔尖A的仰角∠ADB为45°,沿水平方向向塔底前进30m,又测得塔尖的仰角∠ACB=60°.求电视塔高.(结果保留根号)

解 在Rt△ABD中,∠D=45°,

∴AB=BD.

设电视塔高AB=xm,

则BD=x米.∵DC=30m,

∴CB=(x-30)m.

答 电视塔高(45+15)m.

随便看

 

离鸟网收录3541549条中英文词条,其功能与新华字典、现代汉语词典、牛津高阶英汉词典等各类中英文词典类似,基本涵盖了全部常用中英文字词句的读音、释义及用法,是语言学习和写作的有利工具。

 

Copyright © 2004-2024 vtrois.com All Rights Reserved
更新时间:2026/4/18 10:25:17