网站首页  词典首页


请输入您要查询的字词:

 

字词 特拉伏沙
类别 中英文字词句释义及详细解析
释义 特拉伏沙

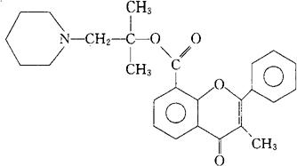
C26H29NO4=419.52

CAS-86433-40-1

3-甲基-4-氧代-2-苯基-4H-1-苯并吡喃-8-羧酸1,1-二甲基-2-哌啶基乙酯。

1,1-Dimethyl-2-piperidinoethyl 3-methyl-4-oxo-2-phenyl-4H-1-benzopran-8-carboxylate.

解痉药。

Terflavoxate.

INN,USAN.

随便看

 

离鸟网收录3541549条中英文词条,其功能与新华字典、现代汉语词典、牛津高阶英汉词典等各类中英文词典类似,基本涵盖了全部常用中英文字词句的读音、释义及用法,是语言学习和写作的有利工具。

 

Copyright © 2004-2024 vtrois.com All Rights Reserved
更新时间:2026/4/18 2:52:43