网站首页  词典首页


请输入您要查询的字词:

 

字词 物资出厂价格
类别 中英文字词句释义及详细解析
释义 物资出厂价格

“工业品出厂价格”的简称。

工业企业向物资企业、商业企业或其它单位出售或调拨产品的价格。生产资料由生产厂直接调拨给使用单位时,也执行出厂价。出厂价格一般由企业正常生产成本加利润和税金构成,是商品进入流通领域的第一个价格。是制定批发价格、供应价格、零售价格的基础。

我国对工业品大部分品种的出厂价放开,少数紧缺产品由国家计划调拨,执行国家计划价格。企业超过国家计划调拨数之外生产的产品,执行自销市场价格,或产品按一定比例自销部分执行市场价格。

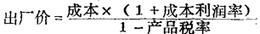
目前,出厂价格的计算公式是:

随便看

 

离鸟网收录3541549条中英文词条,其功能与新华字典、现代汉语词典、牛津高阶英汉词典等各类中英文词典类似,基本涵盖了全部常用中英文字词句的读音、释义及用法,是语言学习和写作的有利工具。

 

Copyright © 2004-2024 vtrois.com All Rights Reserved
更新时间:2026/4/18 19:34:31