网站首页  词典首页


请输入您要查询的字词:

 

字词 物料在管道中运输时的压力损失计算
类别 中英文字词句释义及详细解析
释义 物料在管道中运输时的压力损失计算

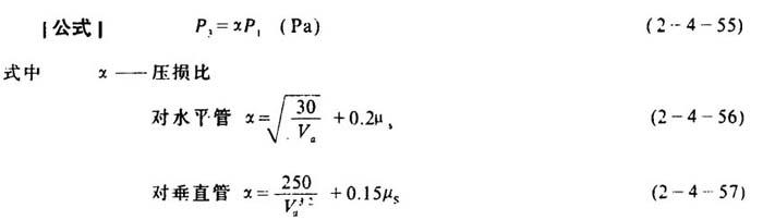
[说明]该损失在整个损失中占的比例最大。在直管的压力损失,一般可根据纯空气管压力损失乘以实验系数(压损比)来计算。

其它均同上

随便看

 

离鸟网收录3541549条中英文词条,其功能与新华字典、现代汉语词典、牛津高阶英汉词典等各类中英文词典类似,基本涵盖了全部常用中英文字词句的读音、释义及用法,是语言学习和写作的有利工具。

 

Copyright © 2004-2024 vtrois.com All Rights Reserved
更新时间:2026/4/20 5:57:39