网站首页  词典首页


请输入您要查询的字词:

 

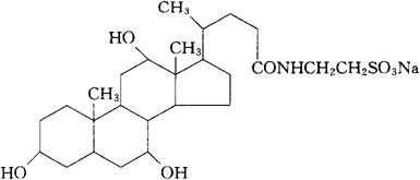
字词 牛胆酸钠[中]
类别 中英文字词句释义及详细解析
释义 牛胆酸钠[中]

C26H44NNaO7S=537.68

2-[(3α,7α,12α-三羟-24-氧代-5β-胆烷-24-基)氨基]乙烷磺酸钠。

2-[(3α,7α,12α-Trihydroxy-24-oxo-5β-cholan-24-y1)amino]ethanesulfonic acid sodium salt.

利胆药。用于胆汁缺乏、肠道消化不良及胆囊炎等。胆酸钠,胆盐,牛磺胆酸钠。

Sodium Taurocholate, Sodium Tauroglycocholate,Bile Salt.

胆酸钠片,胆酸钠胶囊。

MI.

随便看

 

离鸟网收录3541549条中英文词条,其功能与新华字典、现代汉语词典、牛津高阶英汉词典等各类中英文词典类似,基本涵盖了全部常用中英文字词句的读音、释义及用法,是语言学习和写作的有利工具。

 

Copyright © 2004-2024 vtrois.com All Rights Reserved
更新时间:2026/4/18 7:55:57