网站首页  词典首页


请输入您要查询的字词:

 

字词 燃烧工段热量衡算
类别 中英文字词句释义及详细解析
释义 燃烧工段热量衡算

[说明]碱回收炉的热量平衡图如下:

图中 Q1——补充燃料供入热量(kJ/h)

Q2——黑液固形物供入热量(kJ/h)

Qa——黑液中水分蒸发吸热量(kJ/h)

Qb——芒硝还原反应吸收热最(kJ/h)

Q3——锅炉给水带入热量(kJ/h)

Q4——燃烧用空气带入热量(kJ/h)

Q5——锅炉产汽量折合热量(kJ/h)

Q6——熔融物带出热量(kJ/h)

Q7——排烟带走热量(kJ/h)

Q8——炉体散热损失热量(kJ/h)

Q9——未完全燃烧损失热量(kJ/h)

Q10——其他热损失(kJ/h)

1.补充燃料供入热量Q1

式中 G1——补充燃料消耗量(kg/h)

Qv——燃料应用基低位发热量(kJ/h)

C1——燃料比热容[kJ/(kg·℃)],对重油取C1=0.45

t1——燃料入炉燃烧前温度(℃)

t——环境温度(℃)

2.黑液固形物供入热量Q2

[公式] Q2=G2[Qγ2+C2(t2-t)] (kJ/h) (4-1-228)

式中 G2——黑液固形物量(kg/h)

Qγ2——黑液固形物应用低位发热量(kJ/kg)

C2——黑液固形物比热容[kJ/(kg·℃),对木浆碱回收C2=2.01

其它同上

3.黑液中水分蒸发等吸收热量Qa

式中 W——黑液中水分(kg/h)

Ca——水的比热容[kJ/(kg·℃)]

r——水的汽化潜热(kJ/kg),取r=2256.69

Ca′——过热蒸汽比热容[kJ/(kg·℃)],取1.93

t′——排烟温度(℃)

其它同上

4.芒硝还原反应吸收热量Qb

[公式] Qb=6970mB (kJ/h) (4-1-230)

式中 6970——每kg芒硝还原反应的吸热量为6970kJ

m——芒硝还原率(%)

B——补充芒硝量(kg/h)

5.锅炉给水带入热量Q3

式中 W3——锅炉给水量(kg/h)

C3——给水比热容[4.1868kJ/(kg·℃)]

t3——给水温度(℃)

其它同上

6.燃烧用空气带入热量Q4

式中 V——燃烧用空气量(m3/h)

C4——空气平均比热容[1.3kJ/(kg·℃)]

t4——入炉时空气温度(℃)

其它同上

7.锅炉产汽量折合热量Q5

式中 D——锅炉产汽量(kg/h)

i″——锅炉产汽比能(kJ/kg)

i′——环境温度下水的比能(kJ/kg)

8.熔融物带出热量Q6

式中 1238——1kg熔融物在850℃时熔化热为1238kJ

G6——熔融物量(kg/h)

9.排烟带走热量Q7

式中 V7——烟气排烟量(m3/h)

C7——烟气比热容[1.42kJ/(kg·℃)]

t7——排烟温度(℃)

10.炉体散热损失Q8

式中 F——炉体散热面积(m2)

K——传热系数[kJ/(m2·h·℃)]

t8——炉体保温层外表面平均温度(C)

其它同上

11.未完全燃烧热损失Q9

[说明]Q9可根据具体情况,可参照发电锅炉进行测试计算。

12.其他热损失Q10(略)

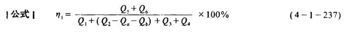
13.正平衡热效率η1

式中符号含义及单位同上

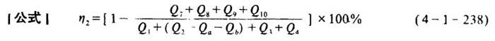
14.反平衡热效率η7

式中符号含义及单位均同上

随便看

 

离鸟网收录3541549条中英文词条,其功能与新华字典、现代汉语词典、牛津高阶英汉词典等各类中英文词典类似,基本涵盖了全部常用中英文字词句的读音、释义及用法,是语言学习和写作的有利工具。

 

Copyright © 2004-2024 vtrois.com All Rights Reserved
更新时间:2026/4/17 17:19:53