网站首页  词典首页


请输入您要查询的字词:

 

字词 熬胶时蒸汽消耗量的计算
类别 中英文字词句释义及详细解析
释义 熬胶时蒸汽消耗量的计算

以1m3容积的定型熬胶锅熬制含25~30%游离松香的白色胶为例。

具体条件:

每锅加入松香量150kg,纯碱量17.2kg,清水量105kg,皂化温度102~105℃,间接加热夹套内蒸汽压力137.2~136.8kPa(1.4~1.6kg/cm2),熬制好的松香胶绝干物含量62%。

蒸汽消耗量计算如下:

(1)消耗于加热水的热量:

(冬季水温取10℃)

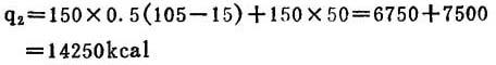
(2)消耗于加热松香的热量:

(松香温度取15℃,松香比热=0.5,松香熔融热50kcal/kg)

(3)消耗于加热纯碱的热量:

(纯碱温度取15℃,纯碱比热0.27kcal/(kg.℃),纯碱溶解热忽略不计)

(4)消耗于蒸发水的热量:

计算蒸发的水量,松香皂化是按下式进行:

其中:松香分子量=302,碳酸钙分子量=106,松香酸钠分子量=324

5.熬胶时耗汽量

理论上所需热量=q1+q2+q3+q4=9975+14250+420+6170=30820kcal

实际上有热损失,包括幅射、蒸汽管线及汽水分离器损失的热量,总共以全部耗热量的10%计

(531.4为1.6kg/cm2压强的饱和水蒸汽的汽化热)则

随便看

 

离鸟网收录3541549条中英文词条,其功能与新华字典、现代汉语词典、牛津高阶英汉词典等各类中英文词典类似,基本涵盖了全部常用中英文字词句的读音、释义及用法,是语言学习和写作的有利工具。

 

Copyright © 2004-2024 vtrois.com All Rights Reserved
更新时间:2026/4/19 8:31:15