网站首页  词典首页


请输入您要查询的字词:

 

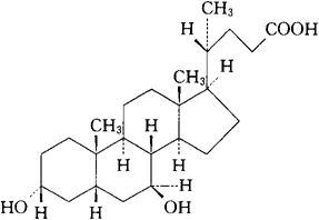
字词 熊去氧胆酸
类别 中英文字词句释义及详细解析
释义 熊去氧胆酸

C24H40O4=392.58

CAS-128-13-2

(3α,5β,7β)-3,7-二羟-胆甾烷-24-酸。

(3α,5β,7β)-3,7-Dihydroxy-cholan-24-oic acid.

3α,7β-二羟-5β-胆(甾)烷-24-酸。

3α,7β-Dihydroxy-5β-cholan-24-oic acid.

胆石溶解药。

Ursodeoxychlic Acid,Ursodiol,Actigall.

INN,BAN,USAN.

随便看

 

离鸟网收录3541549条中英文词条,其功能与新华字典、现代汉语词典、牛津高阶英汉词典等各类中英文词典类似,基本涵盖了全部常用中英文字词句的读音、释义及用法,是语言学习和写作的有利工具。

 

Copyright © 2004-2024 vtrois.com All Rights Reserved
更新时间:2026/4/18 10:31:57