煤的工业分析和元素分析换算
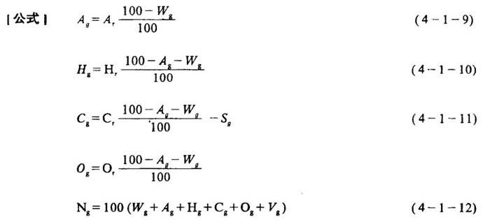
[说明]对于煤的分析,有时因实验条件的限制,只能作简单的工业分析,而在热力计算中,又必须知道元素分析数据,为此需进行两者的换算。 1.燃料基之间的换算因数 [说明]见表4-1-1。 表4-1-1 燃料基的换算因数  注:表中W表示水分,A表示灰分,g表示工作基,f表示分析基,Z表示干燥基,r表示可燃基。 2.将工业分析中的固定碳及挥发分换算成去水干燥可燃基  式中 C′r——可燃基固定碳(%) C1——工业分析中的固定碳(%) 47——工业分析中的灰分(%) V.——可燃基挥发分(%) V1——工业分析中的挥发分(%) 3.可燃基元素分析换算经验计算   4.可燃基元素分析换算为工作基元素分析  式中 Ag、A1——分别表示工作基和可燃基灰分(%) Ha、Hr——分别表示工作基和可燃基的氢元素(%) Ca、Cr——分别表示工作基和可燃基的固定碳(%) Oa、Or——分别表示工作基和可燃基的氧元素(%) Wa——工作基水分(%) Na——工作基氮元素(%) S8——工作基硫元素(%) 5.发热量的计算——门捷列夫公式  式中 ——用门捷列夫公式计算出的发热量(kcal/kg)(1kcal/kg=4.1868kJ/kg) 其它同上 6.由氧氮发热量计算高位发热量  式中 Qg——高位发热量(kcal/kg) Qd1——氧弹发热量(kcal/kg) 22.5SBt、0.0015Q81——氧弹中硫的氧化热及溶解热(kcal/kg) 7.元素分析的正确性校验计算 [说明]用门捷列夫公式计算出来的数值是比较准确的,虽略有出入,但数值不超过150~200kcal/kg,因而,常用以校验元素分析的正确性。  式中符号含义及单位同上 |